1.1 日本における再生可能エネルギー導入の地政学的意義
再生可能エネルギーシステムへの世界的な移行は、環境保全への意識と技術革新に後押しされた、エネルギーインフラの抜本的な変革である。このような国際的な動向の中で、日本が持つ地理的、気候的、文化的な特性は、再生可能エネルギーの導入に関して独自の可能性と課題を明らかにしている。
日本列島の地理的条件は、再生可能エネルギーの開発に対して独特の好機を提供する。約35,000キロメートルにおよぶ海岸線は、潮力や波力の利用に適しており、国土の約70%を占める山岳地帯は、地熱発電や小規模水力発電に理想的な条件を整えている。さらに、明瞭な季節変化を伴う温暖な気候は、太陽光発電および風力発電の利用を促進している。豊富な日射量と季節風の存在は、多様な再生可能エネルギーの活用を後押しする要因である。
日本におけるエネルギー安全保障の観点からは、自然環境のこうした利点が特に重要となる。一次エネルギー供給の約94%を海外に依存している状況は、経済的・地政学的な脆弱性をもたらしている。とりわけ化石燃料の供給源が中東地域に集中している点は、1973年の石油危機によってそのリスクが浮き彫りとなった。
地震や火山活動が頻発する環太平洋火山帯に位置することも、日本のエネルギー政策において考慮すべき要因である。2011年の東日本大震災および福島第一原子力発電所の事故は、大規模な火力・原子力発電所に依存する中央集権的エネルギー体制のもろさを明確に示した。こうした経験は、災害時においても柔軟に対応できる分散型エネルギーシステムの有用性を再認識させた。
再生可能エネルギーの導入は、短期的な経済合理性を超えて、文化的・歴史的背景とも深く関係している。古事記に記された「八百万の神」の思想に代表されるように、日本の伝統文化は自然との調和的な共存を重視してきた。日本神話の世界観は、自然から得られるエネルギーを活用しつつ、その脅威にも慎重に対応するという、現代における持続可能なエネルギー利用の姿勢と響き合う。
南海トラフ地震や首都直下型地震の発生が懸念されるなか、分散型エネルギーシステムの導入には戦略的かつ喫緊の意味がある。こうした大規模災害は、中央集権型インフラに壊滅的な影響を与える可能性が高く、地域ごとの独立性と復元力を備えたネットワーク構築の重要性が増している。再生可能エネルギーの技術革新は、経済的な成長機会としても位置付けられる。日本は技術力と産業基盤の双方において優位性を持ち、持続可能なエネルギー分野における国際的リーダーシップを発揮できる立場にある。
このように、再生可能エネルギーの導入は、エネルギー安全保障、地政学的安定、災害への備え、文化的価値の継承といった多層的な意義を包含している。実利的な課題と長期的な社会的目標の両方に対応し得るこの戦略は、日本にとって不可欠な取り組みといえる。
1.2 再生可能エネルギーの社会実装に向けた課題
1.2.1 現代社会におけるエネルギー依存の構造
現代文明は、高度に整備された電力インフラストラクチャーに深く依存している。Society 5.0で提唱されたサイバーフィジカルシステムの出現は、この依存関係を一層強めた。モノのインターネット(IoT)技術の普及により、産業機器や家庭用電化製品を含むあらゆる装置がネットワークを介して相互接続される社会が形成されつつある。
情報産業を中心とした社会変革は、産業構造や生活様式に革新をもたらしている。一方で、電力供給システムに対して新たな要求も生み出している。急拡大するデータセンターの電力需要、電気自動車向け充電インフラの整備、高度な電力品質を必要とするスマートファクトリーの登場などが、重要な課題として浮上している。
2018年の北海道胆振東部地震では、テクノロジーに依存した社会構造の脆弱性が顕在化した。苫東厚真火力発電所の停止によって引き起こされた大規模停電は、中央集権的な電力供給体制の根本的な課題を示した。電力システムの集中性による脆弱性、社会機能の連鎖的停止、重要インフラにおけるバックアップ機能の欠如など、複数の問題点が露呈した。
こうした状況において、電力供給の安定性確保は国家レベルでの喫緊の課題となっている。デジタルトランスフォーメーションの進展は、電力品質と供給信頼性に対する要求水準をさらに引き上げている。電力システムの強靭化に向けては、分散型電源の導入促進やエネルギー貯蔵システムの開発など、複数の対策が不可欠である。
1.2.2 再生可能エネルギーの課題
再生可能エネルギー(RE)は、電力供給の課題に対する有望な解決策として注目を集めている。主要な再生可能エネルギーは以下のような特徴を示している;

再生可能エネルギーにおける最も顕著な技術的課題は、電力出力の不安定性にある。天候や昼夜の影響によって出力が変動するため、安定的な供給にはエネルギー貯蔵システム(ESS)の活用が不可欠である。リチウムイオン電池、水素エネルギー貯蔵、フロー電池などが主要なESS技術として開発されてきた。
本格的な社会実装に向けては、人工知能(AI)を活用した発電量予測の高度化、ならびに電力運用の効率向上が重要な鍵となる。災害時のレジリエンス向上という観点からも、再生可能エネルギーは有望な選択肢であるが、技術的・経済的な障壁の克服が前提となる。とりわけエネルギー貯蔵技術の進展は、再生可能エネルギーの普及拡大を左右する決定的要因である。
1.3 二次電池開発の重要性
1.3.1 次世代二次電池の技術要件
再生可能エネルギーの大規模な社会実装には、高性能な二次電池の開発が不可欠である。1992年に旭化成とソニーの協力により商品化されたリチウムイオン電池(LIB)は、携帯電子機器の普及を支える基盤技術として世界的に広く使用されてきた。その革新性は2019年のノーベル化学賞受賞により国際的にも高く評価されている。
リチウムイオン電池は、電気自動車や人工衛星といった次世代モビリティや宇宙用途への展開も進められているが、これらの用途では一層高いエネルギー密度が求められている。エネルギー密度は端子電圧と電極容量の積で定義され、電池性能を規定する主要な指標である。
本研究では、電極容量を飛躍的に高めるリチウム金属負極の導入と、作動電圧範囲を広げる高濃度電解質の活用という、二つのアプローチを提案している。
1.3.2 リチウム金属アノードの特性と問題点
リチウム金属は、金属の中で最も低い密度(0.53 g cm-3)を持ち、最も低い標準電極電位(-3.04 V vs. SHE)と最高の理論容量(3,860 mAh g-1)を兼ね備えている。これらの性質により、リチウム金属は次世代二次電池における理想的な負極材料として位置付けられている。一次電池では長年使用されてきたが、二次電池への応用には深刻な課題が残されている。
最大の問題は、充電時の電析過程におけるデンドライト(樹枝状結晶)成長である。不均一なリチウム析出は、サイクルの繰り返しによりさらに顕著になり、内部短絡、寿命劣化、さらには発火リスクを引き起こす恐れがある。
この課題に対して、さまざまな解決策が検討されてきた。特に、電極表面に形成される固体電解質界面(SEI)の制御は、安定なリチウム電析の実現に向けた基本戦略のひとつである。SEIは、電気化学反応初期に電解質の分解によって生成され、その構成や厚さが析出挙動に大きく影響する。これまでの研究では、添加剤によるSEI組成の調整や人工SEIの形成などが試みられている。
物理的アプローチとしては、三次元多孔質構造の導入による析出サイトの均一化、圧力制御やパルス電解による析出速度の調整が挙げられる。これらの方法を組み合わせた統合的な戦略も提案されているが、根本的な解決には至っていない。リチウム析出挙動とSEI形成過程の相関を明らかにすることで、より効果的な制御方法の確立が求められている。
1.3.3 高濃度電解液

リチウム系電解質の研究は、三つの進化段階を経て発展してきた。
第一世代に相当する従来型電解質は、一般にリチウム塩濃度が約1 mol L⁻¹であり、エチレンカーボネートやジメチルカーボネートなどのカーボネート系溶媒が用いられてきた。ヘキサフルオロリン酸リチウムが最も広く利用されているリチウム塩であり、その他にもテトラフルオロホウ酸リチウムやビス(トリフルオロメタンスルホニル)アミドリチウムなどが研究対象となっている。従来型電解質は高いイオン伝導性と製造の容易さを示す一方で、高い可燃性や電気化学的安定性の制限、SEIの継続的形成、活性リチウムの消費、熱的不安定性などの課題を抱えている。
次の段階である高濃度電解質(HCEs)は、3 mol L⁻¹以上のリチウム塩濃度を特徴とし、溶媒分子とLi⁺イオンの強い相互作用により、不燃性や広い電位窓といった優れた特性を発現する。しかし、粘度の上昇と導電率の低下により、電極表面での析出が不均一になりやすいという新たな課題が存在する。
第三世代として登場した局所高濃度電解質(LHCEs)は、HCEsを非配位性溶媒で希釈することにより設計される。全体のリチウム塩濃度が1〜2 mol L-1でありながら、Li⁺の配位環境はHCEsと同等に維持される。粘度の低下と導電率の向上が同時に達成され、従来のHCEsの利点と従来型電解質の特性を組み合わせた電解質として注目を集めている。
1.3.4 次世代蓄電池

リチウム金属負極を採用する次世代蓄電池は、従来のリチウムイオン電池(200–250 Wh kg⁻¹)を大幅に上回る理論エネルギー密度を実現する可能性を秘めている。代表的な三つの候補には、リチウム硫黄電池、全固体電池、リチウム空気電池がある。
リチウム硫黄電池は、最も成熟した技術であり、正極に硫黄を使用し、ポリスルフィド中間体の生成を伴う。高エネルギー密度の実証例も多数報告されているが、ポリスルフィドの移動によるシャトル効果が課題として残り、サイクル寿命の改善が求められている。
全固体電池は、液体電解質を排除することで安全性を高め、高電圧正極やバイポーラ構造の採用によりエネルギー密度の向上を目指している。固体電解質としては、安定性に優れる酸化物系と、高イオン伝導性を示す硫化物系が開発されている。界面抵抗や機械的応力の制御が今後の課題である。
リチウム空気電池は、理論的に最も高いエネルギー密度を有するが、酸素還元・発生反応の複雑さや、大気中の不純物への感受性が実用化を大きく妨げている。
これらの次世代電池はいずれもリチウム金属を負極に使用しており、リチウム析出挙動の制御が共通の技術的ボトルネックとなっている。リチウム電析機構の深い理解と、それに基づく制御戦略の構築が、安定した長寿命セルの実現にとって極めて重要である。
1.4 電解質中の物質移動現象と析出現象
金属イオンの輸送メカニズムは、対流、拡散、泳動の三つの基本的な輸送現象に支配される。これらの現象は、電極表面で生じる電気化学反応において、反応物の供給および生成物の除去を制御する決定的要因となる。本節では、それぞれの輸送現象の物理化学的性質と、電極反応や金属析出との関係について詳述する。
1.4.1 対流
対流には、自然対流と強制対流の二種類がある。自然対流は、流体内の温度差や濃度差によって生じる密度勾配に起因するものであり、重力と浮力の作用によって流れが発生する。一方、強制対流は、ポンプやファンなどの外力によって流体を移動させる方法である。

電気化学反応では、電極周辺でのイオン濃度の変化が密度差を生み出し、自然対流が誘発される。さらに、回転リングディスク電極(RRDE)などの装置を用いることで、意図的に強制対流を生成し、輸送現象を精密に制御することが可能となる。
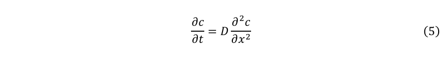
1.4.2 拡散
拡散は、濃度勾配によって駆動される自発的な物質輸送である。定常状態における拡散流束はFickの第一法則によって記述される:

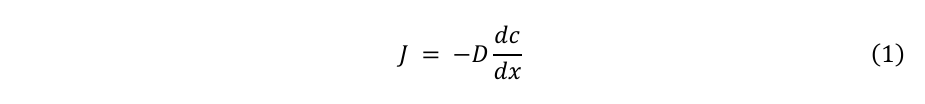
ここで、J [mol s-1 cm-2]は物質流束、D [cm2 s-1]は拡散係数である。拡散係数は、単位面積当たり単位時間に通過する物質量を特徴付ける。濃度と濃度勾配が時間とともに変化する非定常系に対しては、Fickの第二法則が適用される。

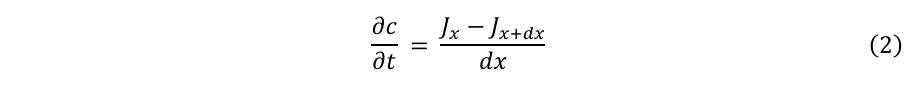
図3に示すように、単位断面積を持つ棒状の系において、位置xとx+dxの間の区間dxにおける時間的な濃度変化を考える。位置xにおける濃度cと、x+dxにおける濃度c+dcに対して、∂c/∂t > 0の場合、拡散は高濃度から低濃度に向かって生じる。dx内の濃度の時間変化は以下のように表される:

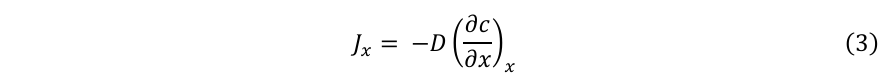
式(1)を用いると、式(2)は式(3)に変換できる:

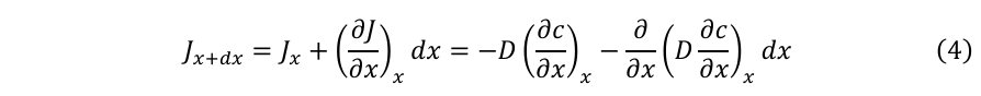
J(x+dx)は以下の式で置き換えられる:

Dが定数であると仮定すると、式(2)と(3)から式(5)が得られる:

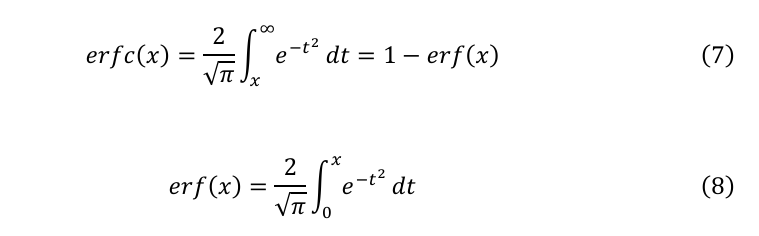
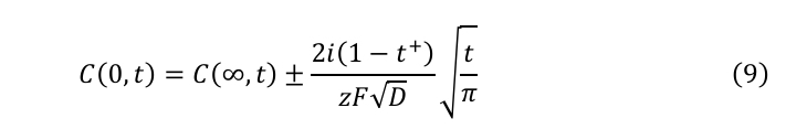
ラプラス変換を用いると、位置と時間に依存する濃度関数C(x,t)は以下のように表される:

ここで、zは原子価、Fはファラデー定数、iは印加電流密度、t+はカチオンの輸率である。erfc関数は相補誤差関数であり、以下のように表される:

電極表面(x = 0)において、時間に対する濃度変化は以下のように表される:

拡散律速の理想条件下では、表面濃度は時間の平方根に比例して変化する。
反応電流は流束Jを用いて以下のように表すことができる:

ここで、電極表面近傍では溶質の輸送は拡散が支配的となる。したがって、式(3)と拡散層厚さδを用いると、式(10)は式(11)となる:

拡散律速条件下では、C(0,t) = 0となり、式(11)は以下のように変形できる:

式(12)を式(9)に代入すると、δからDを求める式が得られる:

本研究では6章においてD計算に式(14)を使用した。
1.4.3 移動
泳動は、荷電粒子が静電気力によって電場中を移動する現象である。電気回路において、電子は電極内を伝導し、イオンは電解質中で電荷キャリアとして機能する。電気化学系における泳動流束Jmは、Nernst-Planck式によって記述される:

ここで、uはイオン移動度、zは電荷数、Fはファラデー定数、Cはイオン濃度、φは電位である。Einstein-Smoluchowskiの関係は、移動度uと拡散係数Dを結びつける:

ここで、kはボルツマン定数、Tは絶対温度である。
輸率は、特定のイオン種が運ぶ全電流の割合として定義される。二成分電解質において、カチオンの輸率t+は以下のように表される:

ここで、添字+と-はそれぞれカチオンとアニオンを表す。理想的な二成分電解質における電気的中性条件下では、以下の関係が成立する:

この条件により、輸率は以下のように簡略化される:

実際の電気化学測定において、輸率は直流(DC)分極法または交流(AC)インピーダンス法を用いて評価される。DC法ではBruce-Vincent式が用いられる:

ここで、I₀とIsは初期および定常状態電流、R₀とRsは初期および定常状態抵抗、ΔVは印加電圧である。
実用的な電気化学システムでは、溶液の導電性を増加させ、物質輸送における泳動の寄与を制御するために支持電解質が添加される。この添加により、溶液抵抗が低減され、正確な電位制御が可能となり、電気二重層の圧縮を通じて電荷移動反応が促進される。リチウムイオン電池電解質においては、Li⁺輸率の最適化が充電速度の向上に重要である。高濃度電解質および局所高濃度電解質は、Li⁺輸率を向上させるために開発されてきた。十分に高い支持電解質濃度下では、電解質中の電位勾配が緩和され、物質輸送は主に拡散によって支配される。これらの条件下では、Nernst-Planck式は理論的にFickの法則に帰着する。
1.4.4 物質移動と電極反応速度
電極反応速度は、電荷移動過程と物質輸送過程という二つの要因によって支配される。全体の反応速度は、これらの過程の中で最も遅い段階(律速段階)によって決定される。この相互作用の理解は、電気化学反応の制御と最適化にとって根本的に重要である。
電極表面における電気化学反応について、酸化種Oと還元種Rの間の一般的な電子移動反応は以下のように表される:

正味の電流密度iは、カソード電流密度icとアノード電流密度iaの差として表される:

Butler-Volmer式によると、これらの部分電流密度は以下のように表される:

ここで、i₀は交換電流密度、αは移動係数、ηは過電圧、Fはファラデー定数、Rは気体定数、Tは絶対温度である。この式は、電極反応における活性化障壁と過電圧の関係を定量的に記述する基本式として機能する。
物質輸送が電極反応に関与する場合、電極表面のC(0,t)とバルクC(∞,t)における反応物濃度の比を考慮する必要がある。修正されたButler-Volmer式は以下のようになる:

この式は、電極反応が物質輸送と電荷移動の両方によって制限される場合、より現実的な描写を提供する。特に、濃度比の項は物質輸送の効果を明示的に表現している。Nernst-Planck式はこれらの輸送現象を統一する:

ここで、∇Cは濃度勾配、∇φは電位勾配、vは流体速度ベクトルである。それぞれの項は、拡散、泳動、対流からの寄与を表している。
物質輸送律速条件下では、式(12)で表される限界電流密度が観察される。重要なのは、拡散層厚さδがシステムの流体力学的条件に強く依存することである。物質輸送特性は、対流条件の制御を通じて最適化できる。
1.4.5 物質移動現象と析出反応の関係
電解質中の物質輸送現象は、金属電析における析出構造の形成に直接影響を与える。均一な構造を形成するか、あるいはデンドライト状に成長するかは、電極表面近傍の局所的な物質輸送条件に大きく依存する。
物質輸送の速度は印加電流密度と密接に関係しており、臨界電流密度を超えると不均一な析出が支配的となる。この臨界点は、金属イオンの拡散限界と結びついている。
電解質の濃度や粘度は、輸送挙動に大きく影響を及ぼす。濃度が高くなると、粘度の増加によって輸送速度が低下する場合がある。局所的な濃度勾配が顕著に発生すると、電場分布や電流密度パターンにも変化が生じ、析出構造が大きく変化する。
温度は輸送挙動に影響を与えるもう一つの重要な因子である。高温ではイオン移動度が向上し、より均一な析出が促進されるが、副反応のリスクも同時に高まるため、バランスのとれた制御が必要となる。
SEI層の性質も析出構造に影響を与える。SEIの組成や厚さは、イオンの局所的な輸送経路を変化させ、析出の均一性に関与する。この複雑な相互作用を理解することは、析出挙動の制御にとって極めて重要である。
今後の研究では、電解質設計、濃度勾配の緩和、界面制御といった観点から、より精密な析出制御技術の開発が求められる。物質輸送と析出構造との関連性に関する知見は、リチウム金属を用いた次世代電池の性能向上に大きく貢献することが期待される。
1.5 金属イオン濃度の測定
1.5.1 従来の測定方法

電極表面近傍における金属イオンの輸送現象を正確に理解することは、電気化学反応の本質を明らかにする上で不可欠である。表3に示されるように、金属イオンの濃度分布を測定するために、さまざまな手法が開発されてきた。各手法には独自の利点と制約が存在する。
走査型電気化学顕微鏡(SECM)は、マイクロ電極を用いて局所的な電気化学反応を検出する技術である。測定では、試料表面と探針電極の間に電位差を印加しつつ、探針を走査することによって空間分布を解析する。ただし、プローブの存在自体がイオン移動に影響を与え、輸送現象の正確な評価を困難にする場合がある。
ラマン分光法は、ラマン散乱を利用した非接触型の光学分析手法であり、物質の化学構造や同定に適している。電解質溶液中のイオン種の同定や配位環境の評価に有用だが、高エネルギーのレーザー光により試料が損傷する可能性がある。
屈折率測定法は、スネルの法則に基づいてレーザー光の屈折角を測定し、イオン濃度との相関から濃度分布を推定する。電解質溶液の屈折率が濃度に依存する特性を利用した手法であり、非接触測定が可能となるが、空間分解能には限界がある。
これらの実験技術に加えて、数値シミュレーションを組み合わせることで、理論解析と実測データの整合性を高めることができる。理論モデルの活用により、測定結果の解釈に深みが加わる。
1.5.2 レーザー干渉顕微鏡による測定
レーザー干渉顕微鏡は、光の干渉現象を応用した非破壊測定技術である。低出力レーザー光を使用することで試料への影響を最小限に抑えながら、0.1秒という高い時間分解能でイオン濃度分布をその場観察することが可能となる。
この測定原理の基礎には、1948年にDennis Gaborが提唱したホログラフィー技術がある。従来の光学顕微鏡では検出できない光の位相情報を記録できる点が特徴である。1970年代には、McLarnonとMullerによって電気化学分野への応用が進められ、その後、Fukunakaらが水溶液系、NishikawaおよびMikiらが非水溶液系での応用を展開した。
電気化学測定に応用される光学干渉系には、Fizeau干渉計、Mach-Zehnder干渉計、Michelson干渉計の三つが代表的である。
Fizeau干渉計は、試料の前面と背面から反射した光を干渉させる簡素な構成を持ち、装置の調整が容易で振動にも比較的強い。ただし、多重反射の影響や試料厚に制限がある。
Mach-Zehnder干渉計は、参照光と試料光の光路を完全に分離する構成をとる。高精度かつ広範囲な測定が可能であり、厚みのある試料にも対応できるが、光路調整が繊細で環境変化に対して敏感である。
Michelson干渉計は、光の折り返し構造により高感度な測定が可能となり、比較的コンパクトで扱いやすい構成を持つ。ただし、偏光の影響や試料形状への依存性がある。性能面ではFizeauとMach-Zehnderの中間に位置付けられる。

本研究では、Mach-Zehnder干渉計を基盤としたホログラフィー干渉顕微鏡を採用した。測定では、レーザービームを参照光と物体光に分割し、参照光は一定の位相を保ち、物体光は試料を通過する過程で位相変化を受ける。両ビームをスクリーン上で重ね合わせることで干渉縞が形成され、この縞から位相差を抽出することで、電極表面近傍のイオン濃度分布を高精度で定量化できる。
1.6 本研究のコンセプトと目的

本研究の目的は、イオン輸送から結晶成長に至る一連の過程を多層的に解析することで、リチウム金属の電析現象の本質を明らかにすることである。特に、図5に示されるように、拡散現象およびイオンの配位構造に注目し、デンドライトの成長や固体電解質界面(SEI)の形成との関係を体系的に検討する。
リチウムの析出過程は、複数の素反応が連続して進行する。最初に、リチウムイオンが電解液中を拡散し、次いで電極表面での電子移動によって金属リチウムへと還元される。その後、表面に吸着された原子が拡散し、ステップやキンクといった結晶成長の起点で核生成が始まる。この過程が進行することで、最終的には結晶成長およびデンドライトの形成へと至る。
これらの複雑に絡み合った電析現象を包括的に理解するため、本研究では複数の最先端分析手法を組み合わせた実験体系を構築した。
まず、リチウムイオンの拡散挙動をその場で観察するために、レーザー干渉顕微鏡法を導入した。この手法により、非破壊で高時間分解能な濃度分布の測定が可能となる。また、電極表面近傍での濃度変化やイオンの配位状態を明らかにするために、ラマン分光法を適用し、電気化学反応に伴う局所的な化学環境の変化を追跡する。
さらに、電析プロセス全体をリアルタイムで可視化するために、光学顕微鏡を用いた観察を行うとともに、析出後の構造解析には電子顕微鏡を階層的に活用した。具体的には、走査型電子顕微鏡(SEM)による表面形態の観察、透過型電子顕微鏡(TEM)による原子レベルでの構造解析、走査透過型電子顕微鏡(STEM)による局所組成分析を実施した。さらに、電子エネルギー損失分光(EELS)により、析出リチウム表面に形成されるSEI層の化学状態を明らかにした。
これらの多角的手法を統合することで、リチウム金属の析出機構をより深く理解し、特に拡散現象がデンドライト形成に与える影響や、溶媒和構造がSEI形成に果たす役割を明確にすることを目指した。得られた知見は、次世代二次電池の開発に必要な基盤的情報として活用されることが期待される。
本研究の成果は、以下の各章で詳述される。
第2章では、高濃度電解液中におけるリチウムの電析および溶解過程における物質輸送現象を調査する。電析形態が電流密度に大きく依存することを明らかにし、電極表面でのSEI膜形成がその制御において重要な役割を果たすことを示す。電極近傍での濃度変化と電析形態の相関を詳細に分析し、局所的な濃度勾配がデンドライト成長を促進することを解明する。また、高電流密度下では、電極表面での過飽和による電位の不安定性が生じることを明らかにする。
第3章では、リチウム塩とテトラグライムからなるソルベートイオン液体中での濃度勾配の形成と緩和プロセスを検討する。本研究により、陽極および陰極領域における拡散係数の非対称性が明らかになり、その起源が電解液の粘度の変化にあることを示す。
第4章では、電流反転時の物質輸送現象を解析する。干渉計測によって得られた濃度プロファイルを有限差分法によるシミュレーションと比較検証する。また、ラマン分光法を用いて、リチウムイオンの溶媒和構造と輸送数の相関を明らかにする。本研究では、電流反転時に電極近傍で特徴的な濃度分布が形成され、それが電析形態に顕著な影響を与えたことを報告する。
第5章では、電解液の濃度とリチウムの電析形態の相関を調査する。光学顕微鏡観察により、塩と溶媒のモル比が電析層の厚さに大きな影響を与えることを明らかにする。低濃度では反応の繰り返しにより電析層が厚くなる一方、高濃度では層が薄くなることを確認する。さらに、析出物の詳細な構造解析に基づき、濃度に依存する3つの成長モデルを提案する。
第6章では、低誘電率溶媒による希釈が高濃度電解液中の物質輸送およびリチウム電析に及ぼす影響を検討する。リチウムイオンの見かけの拡散係数を高濃度電解液および局所高濃度電解液の間で定量比較し、希釈によって拡散特性が向上することを実証する。本研究では、希釈による電解液粘度の低減が、析出表面での副反応を抑制し、より均一な電析形態を実現することを明らかにする。
第7章では、本研究の成果を総括し、その意義について論じる。
参考文献
- O. no Yasumaro, Kojiki, Enigma Edizioni, 2023.
- N. L. Panwar, S. C. Kaushik, S. Kothari, Renewable and Sustainable Energy Reviews 2011, 15, 1513–1524.
- A. Qazi, F. Hussain, N. A. Rahim, G. Hardaker, D. Alghazzawi, K. Shaban, K. Haruna, IEEE Access 2019, 7, 63837–63851.
- A. Yoshino, Angew. Chem. Int. Ed. 2012, 51, 5798–5800.
- F. Wu, J. Maier, Y. Yu, Chemical Society Reviews 2020, 49, 1569–1614.
- R. Wang, W. Cui, F. Chu, F. Wu, Journal of Energy Chemistry 2020, 48, 145–159.
- Y. Zhang, T.-T. Zuo, J. Popovic, K. Lim, Y.-X. Yin, J. Maier, Y.-G. Guo, Materials Today 2020, 33, 56–74.
- Q. Wang, B. Liu, Y. Shen, J. Wu, Z. Zhao, C. Zhong, W. Hu, Advanced Science 2021, 8, 2101111.
- T. Kennedy, M. Brandon, F. Laffir, K. M. Ryan, Journal of Power Sources 2017, 359, 601–610.
- W. Liu, P. Liu, D. Mitlin, Advanced Energy Materials 2020, 10, 2002297.
- Z. Liu, X. Yuan, S. Zhang, J. Wang, Q. Huang, N. Yu, Y. Zhu, L. Fu, F. Wang, Y. Chen, NPG Asia Materials 2019, 11, 12.
- C. Fang, B. Lu, G. Pawar, M. Zhang, D. Cheng, S. Chen, M. Ceja, J.-M. Doux, H. Musrock, M. Cai, Nature Energy 2021, 6, 987–994.
- H. Yang, E. O. Fey, B. D. Trimm, N. Dimitrov, M. S. Whittingham, Journal of Power Sources 2014, 272, 900–908.
- Q. Wang, L. Jiang, Y. Yu, J. Sun, Nano Energy 2019, 55, 93–114.
- Y. Yamada, J. Wang, S. Ko, E. Watanabe, A. Yamada, Nature Energy 2019, 4, 269–280.
- E. R. Logan, J. R. Dahn, Trends in Chemistry 2020, 2, 354–366.
- J. Kalhoff, G. G. Eshetu, D. Bresser, S. Passerini, ChemSusChem 2015, 8, 2154–2175.
- Y. Yamada, K. Furukawa, K. Sodeyama, K. Kikuchi, M. Yaegashi, Y. Tateyama, A. Yamada, Journal of the American Chemical Society 2014, 136, 5039–5046.
- K. Sodeyama, Y. Yamada, K. Aikawa, A. Yamada, Y. Tateyama, The Journal of Physical Chemistry C 2014, 118, 14091–14097.
- L. Chen, X. Fan, E. Hu, X. Ji, J. Chen, S. Hou, T. Deng, J. Li, D. Su, X. Yang, Chem 2019, 5, 896–912.
- S. Ko, Y. Yamada, A. Yamada, Batteries & Supercaps 2020, 3, 910–916.
- S. Ko, Y. Yamada, A. Yamada, Joule 2021, 5, 998–1009.
- X. Cao, H. Jia, W. Xu, J.-G. Zhang, Journal of The Electrochemical Society 2021, 168, 010522.
- A. Manthiram, S. Chung, C. Zu, Advanced Materials 2015, 27, 1980–2006.
- G. Zhou, H. Chen, Y. Cui, Nature Energy 2022, 7, 312–319.
- Z. Wan, D. Lei, W. Yang, C. Liu, K. Shi, X. Hao, L. Shen, W. Lv, B. Li, Q. Yang, F. Kang, Y. He, Advanced Functional Materials 2019, 29, 1805301.
- J. Wu, S. Liu, F. Han, X. Yao, C. Wang, Advanced Materials 2021, 33, 2000751.
- G. Girishkumar, B. McCloskey, A. C. Luntz, S. Swanson, W. Wilcke, J. Phys. Chem. Lett. 2010, 1, 2193–2203.
- J. Newman, K. E. Thomas-Alyea, Electrochemical Systems, John Wiley & Sons, 2012.
- K. B. Prater, A. J. Bard, Journal of the Electrochemical Society 1970, 117, 207.
- A. Fick, The London, Edinburgh, and Dublin Philosophical Magazine and Journal of Science 1855, 10, 30–39.
- J. Evans, C. A. Vincent, P. G. Bruce, Polymer 1987, 28, 2324–2328.
- A. J. Bard, L. R. Faulkner, H. S. White, Electrochemical Methods: Fundamentals and Applications, John Wiley & Sons, 2022.
- K. Nishikawa, T. Mori, T. Nishida, Y. Fukunaka, M. Rosso, Journal of Electroanalytical Chemistry 2011, 661, 84–89.
- X. Xu, X. Jiao, O. O. Kapitanova, J. Wang, V. S. Volkov, Y. Liu, S. Xiong, Advanced Energy Materials 2022, 12, 2200244.
- P. Bai, J. Li, F. R. Brushett, M. Z. Bazant, Energy Environ. Sci. 2016, 9, 3221–3229.
- Y. Liu, X. Xu, M. Sadd, O. O. Kapitanova, V. A. Krivchenko, J. Ban, J. Wang, X. Jiao, Z. Song, J. Song, S. Xiong, A. Matic, Advanced Science 2021, 8, 2003301.
- G. Li, Advanced Energy Materials 2021, 11, 2002891.



コメント